Neutron stars are famously smooth. The effects of gravity are crushing on these astonishingly dense stars, which have radii of only about 12 km, but contain more mass than the Sun. The star’s overwhelming gravity tends to anneal, that is, to smooth out any bumps, large or small, that might arise from surface cracking or from accretion of interstellar material.
LIGO-Virgo-KAGRA scientists have carried out searches in recent LIGO data (from the O4a observing run — May 2023 to January 2024) for evidence that this annealing process has worked less than perfectly for some neutron star somewhere in our galaxy. By carrying out all-sky searches for continuous gravitational waves (CWs) over a broad frequency range (20 to 2000 Hz), one can try to spot an unusual neutron star that is “bumpy” enough to swirl the space itself around the star as it spins on its axis.
The frequency of the resulting wave is expected to be twice the rotation frequency of the star. For example, a star spinning on its axis 100 times per second would emit continuous gravitational waves with a signal frequency of 200 Hz. As the star loses energy to this emitted radiation, its spin frequency very slowly decreases, leading to a slowly declining signal frequency. The searches carried out here allow for decreases as large as 3/10 of a Hz per year. The amplitude of a CW is expected to be tiny (much smaller than one part in a trillion-trillion).
How did we search and what did we find?
Three different search methods (PowerFlux, Frequency Hough and SOAP) have been used to look for such unusual neutron stars. These algorithms take various approaches, but all rely upon looking for nearly monochromatic (single-frequency) sinusoid-like signals in LIGO data. Spectra based on Fourier Transforms are computed for thousands of intervals of collected data, with interval durations ranging from 1024 to 16384 seconds. These spectra are then averaged together over the run period, while allowing for small modulations (Doppler shifts) in frequency and signal strength due to the Earth’s motion (i.e., its daily rotation and annual orbital motion around the Sun).
The PowerFlux and Frequency Hough programs look explicitly at a huge number of possible signal patterns for different combinations of assumed sky location, frequency and frequency time derivative, each combination representing a different template waveform, while the SOAP1 program does not carry out such an explicit search for particular patterns. As a result, SOAP has reduced sensitivity for the expected signals from isolated neutron stars in comparison to other approaches, but at the same time, it is many orders of magnitude faster than the other two programs, and it holds the potential to detect unexpected signals with unpredicted frequency evolution.
Unfortunately, no CW signals were seen. Figure 1 shows the resulting limits on dimensionless gravitational strain amplitude. The best sensitivity comes at around 290 Hz where limits are placed on strain values higher than 9.7×10−26.

Figure 1: Upper limits on continuous gravitational wave strain amplitude vs signal frequency found in these searches, shown in comparison with limits from earlier searches of O3 observing run data. The upper graph shows the full search range from 20 to 2000 Hz. The lower graph shows a zoom-in of the 20-500 Hz range. The many upward spikes correspond to instrumental or environmental contaminations (“lines”). (Figure 2 of the paper)
What do the negative search results mean?
In this paper, LVK scientists have interpreted the negative search results to address three specific astrophysical issues:
- The “smoothness” of the population of all neutron stars in our Milky Way galaxy;
- The population of millisecond pulsars (i.e., with rotation frequency greater than about 100 Hz) near the galactic center, which are thought to be stars that could contribute significantly to the excess of high-energy gamma rays seen from there (referred to as the “GeV excess”); and
- The potential contribution to Dark Matter due to inspiraling binary primordial black hole systems where the black holes have asteroid-scale masses and emit nearly monochromatic signals similar to ‘’bumpy’’ rotating neutron stars.
Figure 2 shows one way to characterize the limits on neutron star smoothness. The horizontal axis is the logarithm (base 10) of the ellipticity, which is a dimensionless measure of non-axisymmetry or roughness (on large or small scales) of the star. The vertical axis is the logarithm of the frequency in Hz. The curves show contours of exclusion of the number of neutron stars having ellipticity above a certain value. The colors of the curves are defined by the color bar at the right side. For example, for an ellipticity threshold of about 10-5 and a frequency of about 200 Hz (around 2.3 on the vertical axis), the results of the PowerFlux search (solid purple contour) imply there are no more than about 100 neutron stars in the galaxy with an ellipticity higher than this threshold. In other words, neutron stars are smoother relative to their diameters than billiard balls (although they are not as round because their fast rotation leads to oblateness, or flattening – with a larger circumference measured around their equator than from pole to pole).

Figure 2: Exclusion contours for the number of galactic neutron stars (see color bar) for different assumed ellipticities and gravitational wave frequencies. Results for the different search methods and for different exclusion thresholds for neutron star number. (Figure 5 of the paper – may change with addition of a requested new figure)
Figure 3 shows another way to interpret the negative search results in terms of their ability to explain the GeV excess, which refers to an unexpected excess of gamma ray radiation intensity at GeV (or Giga electronvolts, where 1 GeV = 109 eV) and higher energies, emitted from near the galactic center. The two leading physical explanations for the excess are from annihilating heavy dark matter particles, or from a population of millisecond pulsars hidden from electromagnetic view by dust in the galaxy which does not impede gravitational waves emitted by such stars.
In the figure, the horizontal axis indicates the logarithm of a millisecond pulsar (MSP) gamma ray luminosity parameter (the lower the value, the more MSPs there would have to be to explain the GeV excess). The vertical axis is a parameter governing the shape of the luminosity function. The color coding shows the number of MSPs needed for each choice of parameter to explain the excess. The gray region indicates MSP numbers so high as to be inconsistent with the negative search results, given the fraction of those stars likely to have a gravitationally detectable ellipticity (for which there is model dependence, addressed in the paper).

Figure 3: Exclusion region (gray) for a luminosity function parameter for millisecond pulsars for which the absence of CW detection is consistent with an explanation of the GeV excess as coming from pulsars. The colored regions show the numbers of MSPs needed to explain the GeV excess for choice of luminosity parameters L0 and σL. (Figure 6 of the paper – may change with addition of a requested new figure)
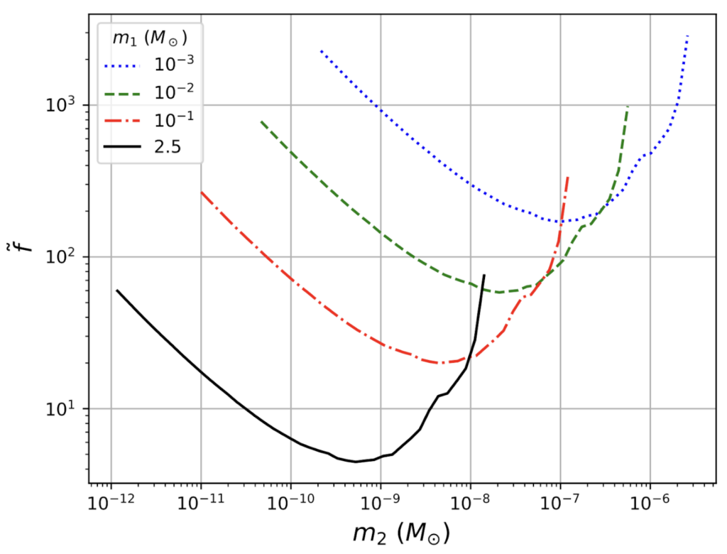
Figure 4 shows yet another way to interpret the negative search results. The horizontal axis depicts the logarithm of the ratio of the mass of a secondary black hole in a primordial binary black hole system to the mass of the Sun. The different curves show exclusion boundaries for a primordial black hole formation function, assuming different mass values for the larger black hole in the binary system.

Figure 4: Exclusion curve of primordial binary black hole formation for different assumed primary and secondary black hole masses (masses are in units of the Sun’s mass). Regions above the curves are excluded for different assumptions concerning the black hole masses m1 and m2. (Figure 9 of the paper – may change with addition of a requested new figure)
The failure to find any CW signals is disappointing because once such a signal is finally seen, it will allow us to test our understanding of both gravity itself and of the internal, not well known structure of neutron stars. Once found, a star emitting detectable CW radiation could potentially be studied for years, for decades – perhaps even for centuries – using ever improving gravitational wave detectors. Those future detectors might be here on the Earth, in space and even on the Moon. Scientists would be able to study the oscillations of the radiation itself (its polarization properties) to compare observations with the predictions from Einstein’s General Theory of Relativity and with predictions from exotic alternative theories of gravity.
Moreover, there would be an excellent chance of detecting a previously unknown neutron star electromagnetically, once gravitational waves tell us precisely where to look on the sky for it and what rotation frequency is likely to modulate the light signals, which might be detectable over a broad radiation band from visible light to gamma rays. Such a star, observed over long time periods in both gravitational and electromagnetic radiation, would be the ultimate multi-messenger astronomical source.
Find out more
- Visit our websites:
- Read a free preprint of the full scientific article here or on arxiv
- Read an introduction to continuous gravitational waves here.
1 SOAP stands for “Snakes on a Plane” (not the movie!) because in a spectrogram plane defined by time on the horizontal axis and frequency on the vertical axis, some continuous gravitational wave signals would resemble wiggling snakes, a pattern SOAP is well suited to detecting.
Back to the overview of science summaries.

