Gravitational waves (GWs) can be used to search for exotic phenomena in particle physics beyond those known from accelerator experiments on Earth, including so-called “ultralight vector bosons.” The LIGO-Virgo-KAGRA (LVK) Collaboration conducted the first directed searches for GWs from ultralight vector boson clouds around known black holes. In the absence of a detection, we were able to disfavor the existence of vector bosons with masses ~1 × 10⁻¹³ electronvolts [eV].
What are ultralight boson clouds?
Ultralight bosons are a hypothetical class of particles with very small masses (< 10-6 eV) that are predicted in many extensions of the Standard Model of particle physics and could form in clouds around spinning black holes (see Figure 1). Because they are theorized to interact very little with their surrounding environment, they make compelling dark matter candidates. In this study we looked in particular for vector bosons, which have a spin quantum number s=1, and are cousins to the scalar (s=0) and tensor (s=2) bosons, which are also theorized.

Figure 1: Schematic representation of the superradiant growth and depletion of a boson cloud around a rotating black hole. The schematic divides this process into two distinct phases: the growth phase, during which the black hole loses mass-energy to the growing boson cloud, and the much longer GW emission phase, during which the boson cloud loses energy, radiating gravitationally.
How do we look for them?
The LVK targeted two types of black holes using data from the first part of the fourth observing run (O4a): the remnant black holes from the binary mergers GW230814 and GW231123, and the galactic black hole in the Cygnus X-1 binary system. The reason we were interested in these particular black holes is because they have large masses, high spins, and/or are relatively nearby, and we knew all of this with high enough confidence to enable precise modeling of their proposed GW signals. Still, each source had its own benefits and drawbacks. In particular, one benefit of targeting Cygnus X-1 was that it is much more nearby—it lies approximately 7,000 light-years away, still within our own galaxy—whereas the merger remnants lie billions of light years away in distant galaxies. On the other hand, a benefit of targeting merger remnants was that we know precisely when and how they were born, whereas the black hole in Cygnus X-1 has a much more uncertain age and history.
Because these two types of black holes have very different characteristics, we used two different methods to search for their potential GW signals: a hidden Markov model (HMM) method, tailored for young, isolated merger remnants, and the Binary BSD-VBC method, tailored for old black holes in binary systems. HMM is a flexible search method that is best suited for signals that evolve rapidly or unexpectedly. On the other hand, the BSD method works best for the type of source whose signal frequency does not evolve much but gets Doppler modulated because of the source’s binary motion.

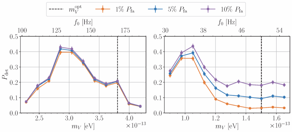
Figure 2: The estimated confidence (Pdet) with which we can disfavor the existence of the vector boson mass (bottom axis) given that the searches targeting the remnant black holes from GW230814 (left panel) and GW231123 (right panel) did not detect anything. The top axis shows the corresponding frequency at which each boson mass would emit GWs. To interpret these results, let us consider the orange curve which represents a 1% false alarm probability (Pfa); then, we can say that the boson mass range with Pdet > 0.3 is disfavored with 30% confidence for a 1% Pfa. Although this is not a confident exclusion, future observations will allow us to test these boson mass ranges with higher confidence.
What did we find?
No GW signals from vector boson clouds were seen in the data, which begged the question: How likely are ultralight vector bosons to exist, given that the LVK did not find anything? Through rigorous statistical analysis, we were able to answer that question…sort of. Figure 2 shows how we use our results from the search targeting the binary merger remnants to disfavor vector bosons within the mass ranges [0.94, 1.08] × 10⁻¹³ eV and [2.75, 3.28] × 10⁻¹³ eV, although our confidence in this conclusion is not high. On the other hand, future searches are expected to yield higher confidence exclusions as we continue to upgrade our detectors. From the search targeting the black hole in Cygnus X-1 (see Figure 3), based on certain assumptions about the age and initial conditions of the black hole, we excluded vector bosons within the range [0.85, 1.59] × 10⁻¹³ eV at 95% confidence.

Figure 3: Upper limits (black curve) on the strain amplitude of the gravitational waves emitted by a vector boson cloud around Cygnus X-1. This is shown as a function of boson mass (bottom axis) and frequency (top axis) for a 95% confidence level, given no detection was made. The hashed regions indicate the predicted strain amplitudes for this system. To interpret these results, we can simply look at where the black curve falls below the hashed curves; this is the region of the boson mass range where a signal should have been detectable but wasn’t detected, and hence we can disfavor the existence of a boson in this mass range with 95% confidence.
Why is this important?
Just because we did not find anything does not mean ultralight vector bosons do not exist. What it does mean is that they are less likely to exist in parts of the targeted mass ranges. As we target more and more black holes with increased detector sensitivity in the future, one of two things will happen. Either we will directly detect a GW signature produced by ultralight bosons, or we, along with other complementary studies, will collage together all of our non-detections until we can rule out their existence altogether. Regardless of the final outcome, this study is an important demonstration of how GW detectors can be used as powerful probes of new physics, including, perhaps, finally unmasking the elusive identity of dark matter.
Find out more:
- Visit our websites:
- Read a free preprint of the full scientific article here or on arxiv.
- Data release from the latest LVK catalog GWTC-4.0 available here.
Back to the overview of science summaries.

